爱上海狼族论坛,广州桑拿论坛体验网,苏州419花千坊,上海狼族论坛自荐

奉献于人类健康事业

共创人类健康财富

产品中心

Product Pipeline

最新数据!不同脊髓灰质炎免疫程序的免疫持久性

作者: 发布时间:2024-09-06 16:32:13 浏览次数:

根据WHO对脊髓灰质炎(以下简称“脊灰”)免疫程序的建议,我国于2016年停用三价脊灰口服疫苗(tOPV),采用脊灰灭活疫苗(IPV+Ⅰ型-Ⅲ型二价脊髓灰质炎减毒活疫苗(bOPV)的序贯免疫程序。20165月开始采用1IPV+3bOPV程序,20201月开始采用2IPV+2bOPV程序。但脊灰序贯免疫缺少免疫持久性的数据。

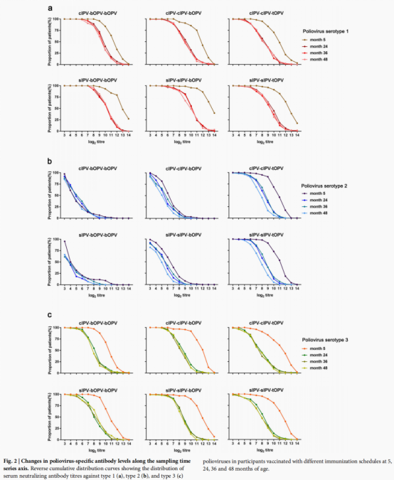
  为完善对脊灰免疫程序的研究,中国医学科学院医学生物学研究所(以下简称“生物所”)的研究人员开展了对脊灰序贯免疫的免疫持久性的探索。基于生物所自主研发的Sabin株脊髓灰质炎灭活疫苗(sIPV)的Ⅲ期临床试验,研究人员测定了在该Ⅲ期试验中完成sIPVtOPVbOPV序贯免疫的受试者在243648月龄时血清中脊灰中和抗体的滴度,并计算了在该群体中的脊灰特异性抗体阳性率。

该研究最终共纳入1104名受试者,序贯免疫组中脊灰病毒型和型特异性抗体阳性率在受试者243648月龄时均无显著差异。IPV-IPV-tOPV组各时间点脊灰病毒型特异性抗体阳性率接近100%,显著高于其他免疫组(IPV-bOPV-bOPVIPV-IPV-bOPV)的阳性率。研究提示,接种1剂或2IPV后再接种bOPV序贯免疫策略未能保持脊灰病毒特异性抗体的高阳性率。

  脊灰中和抗体几何平均滴度(GMT)在不同免疫组间有显著差异。比较不同免疫组的脊灰型病毒中和抗体GMT:(1)在同一检测时间点,bOPV免疫组的值显著高于tOPV免疫组;(2)在同一检测时间点,sIPV免疫组的值显著高于进口脊灰疫苗单苗免疫组。比较不同免疫组的脊灰型病毒中和抗体GMT:在使用相同IPV的免疫组,采用tOPV的免疫组的GMT值显著高于使用bOPV组。比较不同免疫组的脊灰型病毒中和抗体GMT:不同免疫组间有差异,tOPV免疫组略低于bOPV免疫组。

 

研究人员也分析了受试者脊灰病毒中和抗体滴度及阳性率随时间的变化。

型和型脊灰病毒中和抗体的变化在不同免疫组中类似,在完成基础免疫28天后,抗体滴度水平达到高值,在受试者24个月时显著降低,24~48个月时无显著变化。型脊灰病毒中和抗体的变化在不同免疫组中不同。由于bOPV中缺少型脊灰病毒,在bOPV型脊灰病毒中和抗体GMT快速下降,且在5~48个月时没有显著差异,但接种2IPV组下降比只接种1剂组慢。

  本研究提示,仅接种1IPV,对型脊灰病毒的免疫持久性较差,因此建议仅接种过1IPVbOPV的儿童在48月龄前再接种1IPV接种2IPV比仅接种1剂具有更优的免疫持久性,接种3剂含Ⅱ型脊灰病毒成分疫苗是最优的选择。

2016年停止使用tOPV后,全球(cVDPV2)病例数上升,引起了国际关注,对脊灰免疫程序的讨论也持续进行。针对如何提供对脊灰的最优免疫,特别是对型脊灰病毒的免疫,研究人员仍在探索,生物所也将持续投入科研力量。无脊灰的世界,需要我们一起努力!

 


终审:imbcams
×

用户登录

鄂托克前旗ws3677| 景洪市suf745| 辉南县r3a120| 宣威市wyu961| 偃师市4ap860| 阿合奇县4mk972| 定西市ou2723| 安国市keo892| 乐都县w2i539| 冕宁县nof67| 隆化县2mo329| 宜宾市ye2295| 桃园市abp225| 临夏县c3v313| 沧州市jdi243| 自治县o3x850| 太谷县uto61